| 평면형 페로브스카이트 태양전지 효율을 21.60%에 도달시켜 | ||
|
||
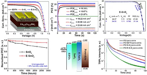
![]() 최근 중국과학원 다롄(大連)화학물리연구소 태양에너지연구부 박막실리콘태양전지연구팀 류성중(劉生忠)/산시(陝西)사범대학교 양둥(楊棟) 연구팀은 미국 버지니아공대 Shashank Priya 교수 연구팀과 공동으로 평면형 페로브스카이트 태양전지 분야에서 새로운 진전을 거두었다. 관련 성과는 "Nature Communications"에 게재되었다. 평면형 페로브스카이트 태양전지는 구조가 간단하고 제조가 쉬운 등 장점이 있지만 기존 메조포러스 구조의 페로브스카이트 전지에 비해 효율이 낮고 또한 심각한 지연효과가 존재한다. 상기 문제를 해결하기 위해 연구팀은 전단계 연구에서 이온성 액체로 개질한 산화티타늄을 전자수송 재료로 사용하여 평면형 페로브스카이트 태양전지 효율을 19.62%로 향상시켜 그 당시 평면형 페로브스카이트 태양전지 최고 효율을 달성하였고 또한 지연효과도 크게 억제하였다(Energy Environ. Sci.). 최근 연구팀은 에틸렌디아민사아세트산(EDTA)과 산화주석의 착화합으로 성능이 뛰어난 E-SnO2 전자수송 재료를 성공적으로 제조하였다. 해당 재료를 기반으로 제조한 평면형 페로브스카이트 태양전지의 효율은 21.60%를 초과하였다(인증효율 21.52%). E-SnO2 전자수송 재료의 높은 전자이동률 및 적당한 에너지준위는 페로브스카이트 태양전지의 이온 이동 및 양·음전하 수송 불균형에 의한 계면부 전하 축적을 효과적으로 억제함으로써 평면형 페로브스카이트 태양전지의 지연효과를 기본적으로 제거하였다. 이외 E-SnO2 전자수송 재료에서 성장한 페로브스카이트 흡광층은 비교적 큰 결정입자를 보유하므로 결정 입계에서 페로브스카이트 재료의 분해 확률을 대폭 낮추어 평면형 페로브스카이트 태양전지의 환경 안정성을 높였다. 해당 연구 성과는 고효율 안정적 평면형 페로브스카이트 태양전지 제조를 위한 토대를 닦았다. 정보출처 : https://mp.weixin.qq.com/s/kKcQmCtMwt5UwwWuRdnHZg |
