| 나노 금속의 기계적 안정성 관련 비정상 결정립 사이즈 효과 발견 | ||
|
||
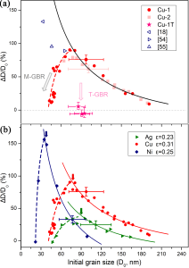
![]() 나노 금속의 입계는 기계적 변형 작용에 의해 입계 이동(Grain boundary migration)이 발생함과 아울러 결정립 성장이 동반되기에 나노재료 연화(Soften) 현상이 발생한다. 해당 현상은 인장, 압축, 압입 등 변형조건에서의 수많은 실험 및 관련 계산 시뮬레이션 결과에 의하여 입증되었다. 최근, 중국과학원 금속연구소 선양(瀋陽)재료과학국가연구센터 루커(盧柯)/리슈옌(李秀豔) 연구원은 소성변형으로 제조한 나노 결정 Cu, Ag, Ni 샘플에 대한 준정적 인장변형시, 결정립 사이즈가 서브마이크로미터급에서 나노미터급으로 감소됨에 따라 입계 이동은 점차적으로 증가되지만 결정립사이즈가 임계값보다 작을 경우 입계 이동은 점차적으로 억제됨을 발견하였다. 해당 결과는 전통적인 관점을 완전히 뒤엎었으며 또한 나노 결정의 열안정성 결정립 사이즈 비정상 효과 관련 발견과 일치하다. 일반적으로 힘의 작용 하에서 입계 이동 속도는 입계 에너지, 입계의 곡률, 입계의 유효 경계층 등과 관련된다. 정보출처 : http://www.stdaily.com/kjrb/kjrbbm/2019-04/04/content_759234.shtml |
